Foltokban, inhomogén módon egyenletes a világmindenség?


Foltokban, inhomogén módon egyenletes a világmindenség?
a kép csak egy kép az univerzumhoz, de a cikkhez nem sok köze van :)
Olvasási idő: 3 perc

Egy magyar kutatócsoport új kozmológiai modellje szerint az univerzum gyorsuló tágulása nem igényel rejtélyes sötét energiát, ha a világegyetem „foltokban”, azaz inhomogén tágul.

A modern kozmológia sikertörténete az úgynevezett Lambda-CDM modell. Eszerint a világegyetem nagy léptékben homogén, vagyis mindenütt átlagosan ugyanolyan. Az univerzum tágulását kezdetben az anyag fékezte, ám 5-6 milliárd éve egy titokzatos összetevő, a sötét energia vette át fokozatosan az irányítást. Azóta a tágulás gyorsul. A modell meglepően jól ír le számos kozmikus megfigyelést, a háttérsugárzástól a galaxisok eloszlásáig. A sötét energia azonban mindmáig ismeretlen. Nem tudjuk, miből áll, mi a természete és miért éppen most vált meghatározóvá. De a Lambda-CDM modell komoly belső feszültséggel küzd. Ez az úgynevezett Hubble-feszültség, amely abból fakad, hogy a világegyetem tágulási ütemét (a Hubble-állandót) különböző megfigyelések eltérő értékre becsülik. A korai univerzum lenyomatából – például a kozmikus mikrohullámú háttérsugárzásból – számolt érték szisztematikusan kisebb, mint amit a közeli világegyetemben, szupernóvák segítségével mérünk. A különbség nem magyarázható egyszerű mérési hibával, így mára a kozmológia egyik legégetőbb problémájává vált. A most megalkotott iEdS modell illeszkedik a főbb kozmológiai megfigyelésekhez és megoldást kínál a modern kozmológia egyik legnagyobb problémájára, a Hubble-feszültségre.

Mindez arra utalhat, hogy a világegyetemről alkotott képünkben hiányzik egy fontos elem.

A Dr. Raffai Péter, az ELTE asztrofizikusa által vezetett magyar kutatócsoport új tanulmánya megoldást kínálhat a fenti problémákra. Elméletük szerint az univerzum tágulását leíró egyenletekben megjelenik egy, a rejtélyes sötét energiára emlékeztető tag, ha a folyamat valójában kisebb homogén régiók tágulásának összjátékaként áll elő. A szaknyelven inhomogén Einstein-de Sitter, röviden iEdS-univerzum kozmológiai modellje szerint ezeknek a régióknak nem kell az univerzum egészét hézagmentesen kitölteniük. Elegendő, ha a térfogatának döntő részét adják.

A homogén régiók sajátossága, hogy bennük az anyag és a térgörbület egymástól szétváltan fejlődhet. A kettő közötti kapcsolatot a régiók önálló tágulása teremti meg. A sűrűbb, pozitív görbületű régiók tágulása lassabb, míg a ritkább, negatív görbületű régiók térfogata gyorsabban nő. A globális tágulás szempontjából, ahogy az össztérfogat mind nagyobb hányadát adják, egyre inkább a ritka régiók válnak meghatározóvá. A folyamat eredményeként pedig a globális térgörbület egyre negatívabbá válik.

A Dr. Raffai Péter szerint, ez újszerű eredmény a teljesen homogén univerzum megszokott dinamikájához képest. Ott ugyanis a globális térgörbület állandó és nem alakulhat át pozitív vagy nulla értékből negatívvá.

A inhomogén tágulásnak egy másik, még meglepőbb hatása is van.

Egy állandó negatív térgörbületű univerzum egyenletesen tágul, amikor az anyag a hígulása miatt már elveszítette meghatározó szerepét. Azonban, ha az anyag dominanciavesztése közben a térgörbület egyre negatívabb, akkor a tágulás gyorsul, de sötét energia nélkül. A gyorsuló tágulás viszont átmeneti jelenség, a foltokban, inhomogén módon táguló univerzum szintén egyenletes ütemű tágulás felé tart.

Egy ilyen világegyetemnek külön érdekessége, hogy nincs végleg áthatolhatatlan horizontja. Vagyis az emberiség számára az egész világegyetem belátható, és akár be is utazható.

Az iEdS-univerzum kozmológiai modellje a tágulás korai, még globálisan is homogén szakaszában azonos folyamatokat feltételez, mint a ma használt standard kozmológia, a Lambda-CDM modell.

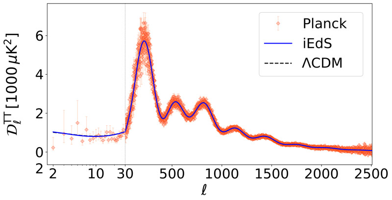
A Planck műhold mérései és az elméleti görbék összevetése azt mutatja, hogy az új iEdS modell ugyanolyan jól illeszkedik a kozmikus háttérsugárzás adataihoz, mint a sötét energiára épülő standard modell (ΛCDM). Mindez 72,5 km/s/Mpc Hubble-állandó mellett teljesül, amely összhangban van az Ia típusú szupernóvákból kapott értékkel, megszüntetve a Hubble-feszültség problémáját. [Forrás: Raffai et al. 2025]
A Planck műhold mérései és az elméleti görbék összevetése azt mutatja, hogy az új iEdS modell ugyanolyan jól illeszkedik a kozmikus háttérsugárzás adataihoz, mint a sötét energiára épülő standard modell (ΛCDM). Mindez 72,5 km/s/Mpc Hubble-állandó mellett teljesül, amely összhangban van az Ia típusú szupernóvákból kapott értékkel, megszüntetve a Hubble-feszültség problémáját. [Forrás: Raffai et al. 2025]

Az új modellben ezért a kozmikus mikrohullámú sugárzás és a könnyű kémiai elemek keletkezése és a kozmikus infláció is – feltéve, hogy megtörtént – a már ismert módokon zajlik. Az iEdS modell mellett szól az is, hogy olyan további, az univerzum szerkezetével és tágulásával összefüggő jelenségeket is, mint a kozmikus háttérsugárzás, az úgynevezett barionakusztikus oszcillációk és az Ia (kimondva: „egy a”) típusú szupernóvák, a Hubble-feszültség nélkül képes megmagyarázni. Az iEdS modell további erőssége, hogy az univerzum kora benne mindössze 1%-kal (130 millió évvel) kisebb a standard modell értékénél. Ez a kor 13,67 milliárd év, ami összhangban van a tágulástörténettől független becslésekkel.

A foltokban homogén univerzum (iEdS) modellje kedvező szakmai fogadtatást kapott, ami azt is jelenti, hogy az elmélet további alapos vizsgálatok elé néz a jövőben.



Previous Magyar felfedezés – Új dinoszauruszfaj Erdélyben
Next Huzella Kert, ahol irodalom, tudomány és természet találkozik

No Comment

Leave a reply

Az e-mail címet nem tesszük közzé. A kötelező mezőket * karakterrel jelöltük

négy × három =